Start Guide
まずはスマホをご用意ください
「30秒で分かるラクモン」動画
ラクモンはスマホでオンライン個別指導が受けられる、勉強・質問アプリです。24時間365日いつでもどこでも、ラクモンに登録した全国の先生にチャットで気軽に質問できます。
Step1
ラクモンをはじめる
Step2
さっそく質問しよう!

分からない問題を投稿

質問したい問題を撮影して、投稿しましょう。
※原則「1回の質問で対応できるのは小問1つ」です。複数の質問は分けて投稿するか、ブースト追加の上投稿してください。
模範解答や途中式が分かる場合は一緒に投稿してくれると回答しやすいよ♪
Step3
先生とチャット

平均1~5分で先生入室
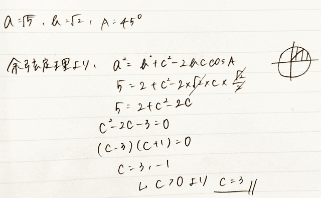
解き方を教えてください。答えは3です。
こんにちは、こちら解説いたします!

√2×c×√2/2の計算が分からないです。
√2と分子の√2をかけると2になって、 分母の2と約分して1になります!
先⽣にチャットを送るだけ!疑問が解決するまで何度でも質問できます。
Step4
スキマ時間に復習しよう


投稿した質問と回答は質問履歴からいつでも見直せます。電車の通学時間やちょっとしたスキマ時間を活用して苦手な箇所を克服しよう!
